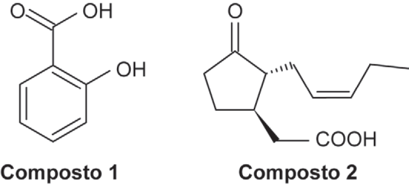
A química na agricultura: perspectivas para o desenvolvimento de tecnologias sustentáveis Os pesticidas naturais vêm sendo utilizados no controle de pragas e doenças agrícolas como substituintes de pesticidas sintéticos tradicionais, por serem menos nocivos ao ambiente, biodegradáveis e minimizarem custos e riscos relativos à lavoura. Por exemplo, os compostos 1 e 2 estão envolvidos nas respostas de defesa das plantas. Os grupos funcionais presentes nesses compostos são importantes para suas propriedades no controle de pragas. Qual é a função orgânica correspondente ao grupo funcional comum presente nesses dois compostos?

← Voltar para questões
Ciências da Natureza Ecologia Média

ENEM 2024 — 2024 • #283

Imagem de apoio da questão 130

A química na agricultura: perspectivas para o desenvolvimento de tecnologias sustentáveis Os pesticidas naturais vêm sendo utilizados no controle de pragas e doenças agrícolas como substituintes de pesticidas sintéticos tradicionais, por serem menos nocivos ao ambiente, biodegradáveis e minimizarem custos e riscos relativos à lavoura. Por exemplo, os compostos 1 e 2 estão envolvidos nas respostas de defesa das plantas. Os grupos funcionais presentes nesses compostos são importantes para suas propriedades no controle de pragas. Qual é a função orgânica correspondente ao grupo funcional comum presente nesses dois compostos?

  1. A Ácido carboxílico.
  2. B Cetona.
  3. C Alceno.
  4. D Álcool.
  5. E Fenol.

Quer a resposta comentada?

Crie sua conta no APROVA10 para desbloquear explicação completa, plano de estudo e simulados.

Criar conta